Skip to main content

073N0003

Dates

Info Date
1973-07-06 00:00:00

Summary

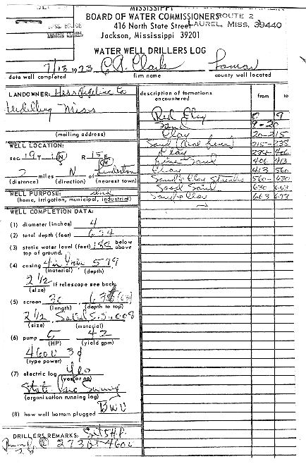
Item in the historic collection of geophysical logs housed at the Mississippi Office of Geology's Environmental Geology Division and corresponding website Drillers Log WellID-073N0003 Owned ByHESS PIPELINE COMPANY - LUMBERTON STATION - PW#1 Drilled By C. P. CLARK WATER WELL DRILLING 1N-15W-19

Attached Files

Material Request Instructions

These items may be accessed at https://geology.deq.ms.gov/environmental/boreholes/
Preview Image

Map

Communities

  • ReSciColl Archive

Tags

Categories
Other

Provenance

Data source
File Processing
File Process

Additional Information

Alternate Titles

  • OOG 073N0003 HESS PIPELINE COMPANY - LUMBERTON STATION - PW#1 C. P. CLARK WATER WELL DRILLING

Identifiers

Type Scheme Key
title Parent-5d2f36a7e4b038fabe24dacc 073N0003

NGGDPP Item Extension

alternateGeometryWGS_1984_Web_Mercator_Auxiliary_Sphere

Item Actions

View Item as ...

Save Item as ...

View Item...